Vui lòng nhập Email
Email Không đúng định dạng
Vui lòng nhập Họ & Tên.

Học sinh tham gia kỳ thi tuyển sinh lớp 10 năm 2025 tại TP.HCM - Ảnh: HOÀI THƯƠNG
Sáng 22-10, Sở Giáo dục và Đào tạo TP.HCM đã công bố cấu trúc và đề minh họa 3 môn thi tuyển sinh lớp 10 năm 2026, bao gồm: toán, ngữ văn và tiếng Anh.
Phụ huynh, học sinh có thể xem cấu trúc và đề minh họa tuyển sinh lớp 10 TP.HCM năm 2026 tại đây.
Đối với môn toán, phạm vi đánh giá nằm trong chương trình Giáo dục phổ thông 2018 môn toán cấp THCS, chủ yếu là lớp 8 và lớp 9. Bao gồm các mạch kiến thức: Hình học và Đo lường; Số và Đại số; Thống kê và Xác suất.
Nội dung kiểm tra nhằm mục đích đánh giá các năng lực toán học: Tư duy và lập luận toán học; giải quyết vấn đề toán học; mô hình hoá toán học.
Mực Tím giới thiệu đáp án gợi ý đề minh họa môn toán do thầy Nguyễn Viết Dương và cô Phan Nữ Nhật Hạnh (giáo viên Trường THCS Võ Văn Tần, phường Bảy Hiền, TP.HCM) hướng dẫn

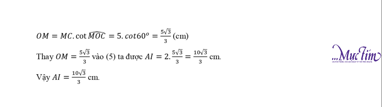
Đáp án gợi ý đề minh họa môn toán tuyển sinh lớp 10 TP.HCM năm 2026 (trang 1)

Đáp án gợi ý đề minh họa môn toán tuyển sinh lớp 10 TP.HCM năm 2026 (trang 2)

Đáp án gợi ý đề minh họa môn toán tuyển sinh lớp 10 TP.HCM năm 2026 (trang 3)

Đáp án gợi ý đề minh họa môn toán tuyển sinh lớp 10 TP.HCM năm 2026 (trang 4)

Đáp án gợi ý đề minh họa môn toán tuyển sinh lớp 10 TP.HCM năm 2026 (trang 5)

Đáp án gợi ý đề minh họa môn toán tuyển sinh lớp 10 TP.HCM năm 2026 (trang 6)

Đáp án gợi ý đề minh họa môn toán tuyển sinh lớp 10 TP.HCM năm 2026 (trang 7)

Đáp án gợi ý đề minh họa môn toán tuyển sinh lớp 10 TP.HCM năm 2026 (trang 8)

Đáp án gợi ý đề minh họa môn toán tuyển sinh lớp 10 TP.HCM năm 2026 (trang 9)

Đáp án gợi ý đề minh họa môn toán tuyển sinh lớp 10 TP.HCM năm 2026 (trang 10)

Đáp án gợi ý đề minh họa môn toán tuyển sinh lớp 10 TP.HCM năm 2026 (trang 11)
Thầy Nguyễn Viết Dương và cô Phan Nữ Nhật Hạnh (giáo viên Trường THCS Võ Văn Tần, phường Bảy Hiền, TP.HCM) hướng dẫn
Tuổi Trẻ Sao
Thông tin tài khoản ngày
Tài khoản được sử dụng đến ngày | Bạn đang có 0 trong tài khoản
1 sao = 1000đ. Mua thêm sao để tham gia hoạt động tương tác trên Tuổi Trẻ như: Đổi quà lưu niệm, Tặng sao cho tác giả, Shopping
Tổng số tiền thanh toán: 0đ
Thanh toánVui lòng nhập Tên hiển thị
Vui lòng nhập Email
Email Không đúng định dạng
Vui lòng nhập Email
Email Không đúng định dạng
Mật khẩu không đúng.
Thông tin đăng nhập không đúng.
Tài khoản bị khóa, vui lòng liên hệ quản trị viên.
Có lỗi phát sinh. Vui lòng thử lại sau.
Vui lòng nhập Tên của bạn.
Vui lòng nhập Email
Email Không đúng định dạng
Mật khẩu phải có ít nhất 6 kí tự.
Xác nhận mật khẩu không khớp.
Nhập mã xác nhận
Đóng lạiVui lòng nhập thông tin và ý kiến của bạn
XVui lòng nhập Email
Email Không đúng định dạng
Vui lòng nhập Họ & Tên.
Vui lòng nhập Ý kiến của bạn.
Tối đa: 1500 ký tự
Hiện chưa có bình luận nào, hãy là người đầu tiên bình luận