Vui lòng nhập Email
Email Không đúng định dạng
Vui lòng nhập Họ & Tên.

Học sinh tìm hiểu thông tin tuyển sinh lớp 10 TP.HCM tại ngày hội Tự tin vào lớp 10 do báo Tuổi Trẻ tổ chức - Ảnh: QUANG ĐỊNH
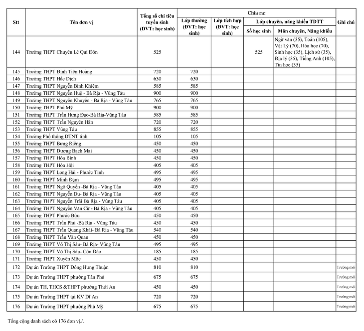
Sở Giáo dục và Đào tạo TP.HCM cho biết năm học 2026-2027, 176 trường THPT công lập sẽ tuyển 117.355 học sinh lớp 10.
41 trung tâm giáo dục thường xuyên - giáo dục nghề nghiệp công lập sẽ tuyển 16.226 học sinh.
Ngoài ra Trường Phổ thông Năng khiếu (Đại học Quốc gia TP.HCM), Trường Trung học thực hành (Đại học Sư phạm TP.HCM), Trường Trung học Thực hành Sài Gòn (Trường Đại học Sài Gòn), Trường quốc tế Việt Nam - Phần Lan (Trường Đại học Tôn Đức Thắng), Trường Phổ thông năng khiếu thể thao Olympic (Trường Đại học Thể dục Thể thao TP.HCM) tuyển 1.195 học sinh lớp 10.
Trong khi đó, dự kiến số học sinh tốt nghiệp lớp 9 năm học 2025-2026 là 169.080 em, tăng 42.734 em so với năm học trước.
Trong đó khu vực 1 (TP.HCM) tăng 27.106 học sinh, khu vực 2 (Bình Dương) tăng 8.419 học sinh và khu vực 3 (Bà Rịa - Vũng Tàu) tăng 7.209 học sinh.
Tỉ lệ học sinh hoàn thành lớp 9 vào lớp 10 công lập các trường THPT và Trung tâm giáo dục thường xuyên là 79%.







Tuổi Trẻ Sao
Thông tin tài khoản ngày
Tài khoản được sử dụng đến ngày | Bạn đang có 0 trong tài khoản
1 sao = 1000đ. Mua thêm sao để tham gia hoạt động tương tác trên Tuổi Trẻ như: Đổi quà lưu niệm, Tặng sao cho tác giả, Shopping
Tổng số tiền thanh toán: 0đ
Thanh toánVui lòng nhập Tên hiển thị
Vui lòng nhập Email
Email Không đúng định dạng
Vui lòng nhập Email
Email Không đúng định dạng
Mật khẩu không đúng.
Thông tin đăng nhập không đúng.
Tài khoản bị khóa, vui lòng liên hệ quản trị viên.
Có lỗi phát sinh. Vui lòng thử lại sau.
Vui lòng nhập Tên của bạn.
Vui lòng nhập Email
Email Không đúng định dạng
Mật khẩu phải có ít nhất 6 kí tự.
Xác nhận mật khẩu không khớp.
Nhập mã xác nhận
Đóng lạiVui lòng nhập thông tin và ý kiến của bạn
XVui lòng nhập Email
Email Không đúng định dạng
Vui lòng nhập Họ & Tên.
Vui lòng nhập Ý kiến của bạn.
Tối đa: 1500 ký tự
Hiện chưa có bình luận nào, hãy là người đầu tiên bình luận