Vui lòng nhập Email
Email Không đúng định dạng
Vui lòng nhập Họ & Tên.

Trường THPT Marie Curie tuyển 1.000 chỉ tiêu cho năm học 2026-2027, là một trong những trường THPT tại TP.HCM có chỉ tiêu tuyển sinh lớp 10 cao nhất - Ảnh: TRỌNG ANH
Ngày 29-4, Sở Giáo dục và Đào tạo TP.HCM đã công bố chỉ tiêu tuyển sinh lớp 10 của các trường trên địa bàn thành phố.
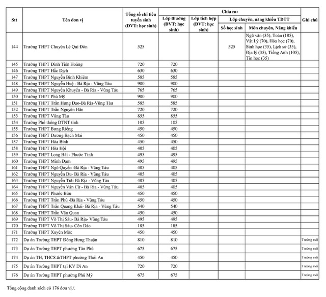
Theo đó, năm học 2026-2027, 176 trường THPT công lập tại TP.HCM sẽ tuyển 117.355 học sinh. 41 trung tâm giáo dục thường xuyên - giáo dục nghề nghiệp công lập sẽ tuyển 16.226 học sinh.
Đáng chú ý, nhiều trường THPT tuyển trên 1.000 chỉ tiêu. Dẫn đầu danh sách này là Trường THPT Nguyễn Văn Tăng với 1.125 chỉ tiêu.
Xếp sau lần lượt là: Trường THPT Mạc Đĩnh Chi (1.060 chỉ tiêu), Trường THPT Hùng Vương (1.035 chỉ tiêu), Trường THPT Tây Thạnh (1.035 chỉ tiêu) và Trường THPT Marie Curie (1.000 chỉ tiêu).
Trong nhóm 10 trường THPT có chỉ tiêu cao nhất còn có THPT Trần Quang Khải (990 chỉ tiêu), THPT Linh Trung (990 chỉ tiêu), THPT Trần Hưng Đạo (990 chỉ tiêu), THPT Gia Định (960 chỉ tiêu) và THPT Trần Phú (945 chỉ tiêu).
So với năm học 2025-2026, trong nhóm đầu, THPT Mạc Đĩnh Chi, THPT Hùng Vương, THPT Marie Curie và THPT Gia Định là những trường giữ nguyên mức chỉ tiêu.
Tại khu vực Bình Dương cũ, Trường THPT Nguyễn Thị Minh Khai - Bình Dương (phường Tân Đông Hiệp) có chỉ tiêu tuyển sinh cao nhất với 855 học sinh.
Ở khu vực Bà Rịa - Vũng Tàu cũ, THPT Nguyễn Huệ - Bà Rịa - Vũng Tàu và THPT Phú Mỹ là hai trường có mức chỉ tiêu cao nhất (900 học sinh).
Xét trên địa bàn toàn thành phố, Trường THCS-THPT Thạnh An có chỉ tiêu thấp nhất (60 học sinh).
Đối với các trung tâm giáo dục thường xuyên - giáo dục nghề nghiệp công lập, Trung tâm GDNN-GDTX quận 12 có chỉ tiêu cao nhất với 1.530 học sinh.
Xếp thứ hai là Trung tâm GDNN-GDTX TP Thủ Đức với 1.300 học sinh.
Mời phụ huynh, học sinh tham khảo chỉ tiêu tuyển sinh lớp 10 các trường THPT công lập, trung tâm giáo dục thường xuyên - giáo dục nghề nghiệp công lập bên dưới:







Tuổi Trẻ Sao
Thông tin tài khoản ngày
Tài khoản được sử dụng đến ngày | Bạn đang có 0 trong tài khoản
1 sao = 1000đ. Mua thêm sao để tham gia hoạt động tương tác trên Tuổi Trẻ như: Đổi quà lưu niệm, Tặng sao cho tác giả, Shopping
Tổng số tiền thanh toán: 0đ
Thanh toánVui lòng nhập Tên hiển thị
Vui lòng nhập Email
Email Không đúng định dạng
Vui lòng nhập Email
Email Không đúng định dạng
Mật khẩu không đúng.
Thông tin đăng nhập không đúng.
Tài khoản bị khóa, vui lòng liên hệ quản trị viên.
Có lỗi phát sinh. Vui lòng thử lại sau.
Vui lòng nhập Tên của bạn.
Vui lòng nhập Email
Email Không đúng định dạng
Mật khẩu phải có ít nhất 6 kí tự.
Xác nhận mật khẩu không khớp.
Nhập mã xác nhận
Đóng lạiVui lòng nhập thông tin và ý kiến của bạn
XVui lòng nhập Email
Email Không đúng định dạng
Vui lòng nhập Họ & Tên.
Vui lòng nhập Ý kiến của bạn.
Tối đa: 1500 ký tự
Hiện chưa có bình luận nào, hãy là người đầu tiên bình luận